AtCoder Beginner Contest 378 Summary
JoeyDDong

本文是 AtCoder Beginner Conteset(ABC)378 的总结笔记。

A - Pairing

Problem:A - Pairing

省略。

1
2
3
4
5
6
7
8
9
10
11
12
13
14
15
16
17
18
19
20
21
22
23
24
25
26
27
28
29
// Problem: https://atcoder.jp/contests/abc378/tasks/abc378_a

#include <bits/stdc++.h>
using namespace std;
typedef long long LL;
typedef pair<int, int> PII;

int f[4];

void solve() {
for (int i = 0; i < 4; i++) {
int c;
cin >> c;
f[c]++;
}

int res = 0;
for (int i = 1; i <= 4; i++)
res += f[i] / 2;

cout << res << endl;
}

int main() {
cin.tie(0);
ios_base::sync_with_stdio(false);
solve();
return 0;
}

B - Garbage Collection

Problem:B - Garbage Collection

模拟题。

省略。

1
2
3
4
5
6
7
8
9
10
11
12
13
14
15
16
17
18
19
20
21
22
23
24
25
26
27
28
29
30
31
32
33
34
35
36
37
// Problem: https://atcoder.jp/contests/abc378/tasks/abc378_b

#include <bits/stdc++.h>
using namespace std;
typedef long long LL;
typedef pair<int, int> PII;

const int N = 110;
int q[N], r[N];
int n, Q;

void solve() {
// 读入数据
cin >> n;
for (int i = 1; i <= n; i++)
cin >> q[i] >> r[i];

cin >> Q;
for (int i = 1, t, d; i <= Q; i++) {
cin >> t >> d;
int tmp = d % q[t];

// 如果 tmp 在 r[t] 前面,说明本轮就可以扔
if (tmp <= r[t])
cout << d + (r[t] - tmp) << endl;
// 否则要等到下一轮才能扔
else
cout << d + q[t] - tmp + r[t] << endl;
}
}

int main() {
cin.tie(0);
ios_base::sync_with_stdio(false);
solve();
return 0;
}

C - Repeating

Problem:C - Repeating

STL

输出一个数字前面,离他最近的相同数字的位置。没有就输出 -1

思路非常的简单,使用一个 unordered_map 来存储每个数字的出现位置。

1
2
3
4
5
6
7
8
9
10
11
12
13
14
15
16
17
18
19
20
21
22
23
24
25
26
27
28
29
// Problem: https://atcoder.jp/contests/abc378/tasks/abc378_c

#include <bits/stdc++.h>
using namespace std;
typedef long long LL;
typedef pair<int, int> PII;

int n, a;
unordered_map<int, int> q;
void solve() {
cin >> n;

for (int i = 1; i <= n; i++) {
cin >> a;
if (!q.count(a))
cout << -1 << " ";
else
cout << q[a] << " ";

q[a] = i;
}
}

int main() {
cin.tie(0);
ios_base::sync_with_stdio(false);
solve();
return 0;
}

D - Count Simple Paths

Problem:D - Count Simple Paths

DFS。

一道非常标准的 DFS 题目。难度不大。

1
2
3
4
5
6
7
8
9
10
11
12
13
14
15
16
17
18
19
20
21
22
23
24
25
26
27
28
29
30
31
32
33
34
35
36
37
38
39
40
41
42
43
44
45
46
47
48
49
50
51
52
53
54
55
56
57
58
59
60
61
62
// Problem: https://atcoder.jp/contests/abc378/tasks/abc378_d

#include <bits/stdc++.h>
using namespace std;
typedef long long LL;
typedef pair<int, int> PII;

const int N = 15;
string g[N]; // 存储网格
bool st[N][N]; // 存储遍历状态
int n, m, k;
int res;
int dx[4] = {-1, 0, 1, 0}, dy[4] = {0, 1, 0, -1};

void dfs(int x, int y, int k) {
if (k == 0) {
res++;
return;
}

for (int i = 0; i < 4; i++) {
int a = x + dx[i], b = y + dy[i];

if (a < 1 || a > n || b < 1 || b > m)
continue;
if (g[a][b] == '#' || st[a][b])
continue;

st[a][b] = true;
dfs(a, b, k - 1);
st[a][b] = false;
}
}

void solve() {
// 读入数据,1-base
cin >> n >> m >> k;
for (int i = 1; i <= n; i++) {
cin >> g[i];
g[i] = " " + g[i];
}

// 对于每个点都 DFS 一遍
for (int i = 1; i <= n; i++)
for (int j = 1; j <= m; j++) {
if (g[i][j] == '#')
continue;

st[i][j] = true;
dfs(i, j, k);
st[i][j] = false;
}

cout << res << endl;
}

int main() {
cin.tie(0);
ios_base::sync_with_stdio(false);
solve();
return 0;
}

E - Mod Sigma Problem

Problem:E - Mod Sigma Problem

推公式 + 树状数组BIT

题目:

给定一组长度为的序列,给定一个正整数

约束条件:

思路 :

本题整体需要解决下面两个问题:

问题 1:公式化简

我们定义带模前缀和

那么我们就可以将原公式转化为

根据常用的知识点:

,我们就可以将 mod 符号从公式中去除掉,原公式转化为:

备注:照理说前缀和中,是单调递增的,为什么会出现逆序对呢?

本题中使用的是带模前缀和,所以真实的值会呈现周期性的变化,当超过时候,又会跳回到一个比较小的数值范围,所以就可能出现的情况出现,就对应了本题中需要加入一个偏置 M 把结果“扳正”的情况。

从上面公式可以发现,公式最后可以被拆成 3 个部分:

  • :直接使用预处理好的带模前缀和计算,时间复杂度为

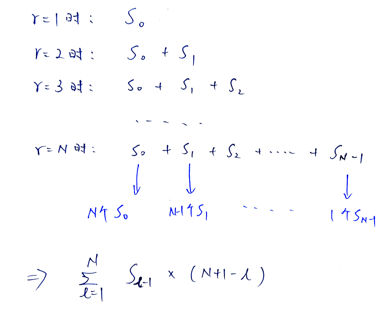
  • :类似于前缀和的前缀和,拆开之后可以发现下图规律。化简结果为:。时间复杂度

    image-20241227153446971
  • :问题就转化为,如何快速求出带模前缀和 s 的所有逆序对数量? 使用树状数组 BIT 来解决。

问题 2:使用 BIT 求逆序对

逆序对的定义是:找到所有的使得并且

如何使用 BIT 求逆序对的数量呢?

假设从左向右遍历数组,当处理到的时候,数组都已经被放入了 BIT 中。将数字作为 index,将出现次数作为 BIT 内存的值。我们可以很容易就求出,已经存入的数字中,比小的数字有个。相应的,比大的数字数量为

这一步的时间复杂度为

总结:

本题的整体思路为:首先将公式进行推到化简,可以发现分别求出三个部分的值就可以得出最终的结果。最麻烦的是如何求整体的逆序对数量,这里使用了 BIT 的数据结构。

整体的时间复杂度为

1
2
3
4
5
6
7
8
9
10
11
12
13
14
15
16
17
18
19
20
21
22
23
24
25
26
27
28
29
30
31
32
33
34
35
36
37
38
39
40
41
42
43
44
45
46
47
48
49
50
51
52
53
54
55
56
57
58
59
60
61
62
63
64
65
66
67
68
69
// Problem: https://atcoder.jp/contests/abc378/tasks/abc378_e

#include <bits/stdc++.h>
using namespace std;
typedef long long LL;
typedef pair<int, int> PII;

const int N = 2e5 + 10;
int n, m;
int a[N]; // 储存原数组
int s[N]; // 储存:带模前缀和
int tr[N]; // BIT

int lowbit(int x) {
return x & -x;
}

// 更新 BIT 的值
void add(int x, int k) {
x++;
for (int i = x; i <= N; i += lowbit(i))
tr[i] += k;
}

// 求前x个数的数量和
int sum(int x) {
x++;
int res = 0;
for (int i = x; i; i -= lowbit(i))
res += tr[i];
return res;
}

void solve() {
// 读入数据
cin >> n >> m;
for (int i = 1; i <= n; i++) {
cin >> a[i];
// 预处理带模前缀和
s[i] = (s[i - 1] + a[i]) % m;
}

LL res = 0;
// 计算公式的第一部分
for (int r = 1; r <= n; r++)
res += 1ll * s[r] * r;
// 计算公式的第二部分
for (int l = 1; l <= n; l++)
res -= 1ll * s[l - 1] * (n - l + 1);

// 计算逆序对
LL cnt = 0;
for (int i = 1; i <= n; i++) {
cnt += (i - 1 - sum(s[i]));
add(s[i], 1);
}
// 计算公式第三部分
res += 1ll * m * cnt;

// 输出结果
cout << res << endl;
}

int main() {
cin.tie(0);
ios_base::sync_with_stdio(false);
solve();
return 0;
}

F - Add One Edge 2

Problem:F - Add One Edge 2

题目:

给定一个树,有 N 个节点,N-1 条边。

给树增加一条边,能把树变成恰好带一个环的图。

请问有多少个图满足条件:简单图,环上的所有顶点读数为 3。

约束条件:

思路:

这道题目结论比较暴力:

​ 直接找度数为的连通块,然后向外找度数为的点。假设度数为的点数量为,那么这些度数为的点直接两两相连,都能形成题目要求的环。形成环的数量为

由于是把所有的点都看过,所以极限状态下的时间复杂度为

image-20241227172545381
1
2
3
4
5
6
7
8
9
10
11
12
13
14
15
16
17
18
19
20
21
22
23
24
25
26
27
28
29
30
31
32
33
34
35
36
37
38
39
40
41
42
43
44
45
46
47
48
49
50
51
52
53
54
55
56
57
58
59
60
61
62
63
64
65
66
67
68
69
70
71
72
73
74
75
76
77
78
79
80
81
82
// Problem: https://atcoder.jp/contests/abc378/tasks/abc378_f

#include <bits/stdc++.h>
using namespace std;
typedef long long LL;
typedef pair<int, int> PII;

const int N = 2e5 + 10, M = 4e5 + 10;
int h[N], e[M], ne[M], idx; // 存储图
int n;
int deg[N]; // 记录度数
bool st[N]; // 记录是否被看过
int cnt; // 记录点的数量
LL res; // 记录结果

// 建图加边
void add(int a, int b) {
e[idx] = b;
ne[idx] = h[a];
h[a] = idx++;
}

// DFS
void dfs(int now, int fa = 0) {
// 如果当前点度数不为 3
if (deg[now] != 3) {
// 如果度数是 2,就计数
cnt += (deg[now] == 2);
return;
}

// 此点标记
st[now] = true;
// 看一下周围的点
for (int i = h[now]; i != -1; i = ne[i]) {
int next = e[i];
// 如果是来时的点就跳过
if (next == fa)
continue;
// 向下搜
dfs(next, now);
}
}

void solve() {
// h 数组初始化
memset(h, -1, sizeof h);

// 读入数据,同时预处理各个节点的度数
cin >> n;
for (int i = 1; i <= n - 1; i++) {
int u, v;
cin >> u >> v;
add(u, v), add(v, u);
deg[u]++, deg[v]++;
}

// 依次遍历每个节点
for (int i = 1; i <= n; i++) {
// 度数不为 3,直接跳过
if (deg[i] != 3)
continue;
// 如果这个点已经看过了,跳过
if (st[i])
continue;

// 计算当前连通块,周围度数为 2 的点的数量
cnt = 0;
dfs(i);
res += 1ll * cnt * (cnt - 1) / 2;
}

// 输出结果
cout << res << endl;
}

int main() {
cin.tie(0);
ios_base::sync_with_stdio(false);
solve();
return 0;
}